КГКП «Ясли-сад №15» отдела образования города Костаная» Управления образования акимата Костанайской области
0
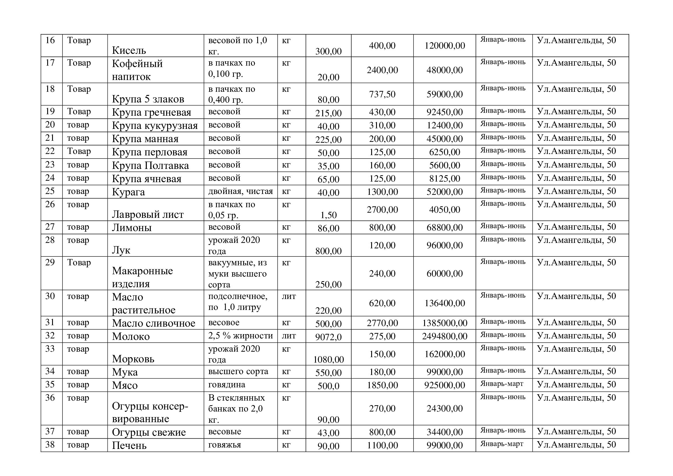
План приобретения продуктов питания на 1 полугодие 2021 года

План приобретения продуктов питания на 1 полугодие 2021 года